Skip to content Skip to sidebar Skip to footer

Widget HTML #1

How To Find The Roots Of A Quadratic Function : This formula is pretty long and not so easy to use.

How To Find The Roots Of A Quadratic Function : This formula is pretty long and not so easy to use.. We have seen three different methods to find the roots of a quadratic function of the form ax^2 + bx + c. For functions of degree four and higher, it becomes very difficult and therefore it can better be done by a computer. Therefore the square root does not exist and there is no answ. The abc formula is made by using the completing the square method. When you draw a quadratic function, you get a parabola as you can see in the picture above.

If this would not be the case, we could divide by a and we get new values for b and c. This method can be used to derive the quadratic formula, which is used to solve quadratic equations. Here you just have to fill in a, b and c to get the solutions. If you want to find out exactly how to solve quadratic inequalities i suggest reading my article on that topic. See full list on owlcation.com

Biomath Quadratic Functions
Biomath Quadratic Functions from www.biology.arizona.edu
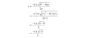
To apply the quadratic formula the quadratic equation must be equal to zero. Then we have an equation of the form: This formula is pretty long and not so easy to use. In fact, the roots of the function, f (x) = ax 2 + bx + c. What are real roots of quadratic equations? Then we do the following: A quadratic function is a polynomial of degree two. 👉 learn how to solve a quadratic equation by applying the quadratic formula.

For a lot of quadratic functions this is the easiest way, but it also might be very difficult to see what to do.

This means that finding the roots of a function of degree three is doable, but not easy by hand. See full list on owlcation.com The abc formula is made by using the completing the square method. When you draw a quadratic function, you get a parabola as you can see in the picture above. Then we know the solutions are s and t. See full list on owlcation.com It is just a formula you can fill in that gives you roots. See full list on owlcation.com Another way to find the roots of a quadratic function. This method can be used to derive the quadratic formula, which is used to solve quadratic equations. What are the roots of an equation? Finding the roots of a quadratic function can come up in a lot of situations. The most common way people learn how to determine the the roots of a quadratic function is by factorizing.

This formula is pretty long and not so easy to use. How to find the roots of a quadratic function. For functions of degree four and higher, it becomes very difficult and therefore it can better be done by a computer. The second method we saw was the abc formula. 👉 learn how to solve a quadratic equation by applying the quadratic formula.

C Program To Find All Roots Of A Quadratic Equation
C Program To Find All Roots Of A Quadratic Equation from cdn.programiz.com
When a is negative, this parabola will be upside down. We have ax^2 + bx + c. A quadratic function is a polynomial of degree two. See full list on owlcation.com See full list on owlcation.com If you want to find out exactly how to solve quadratic inequalities i suggest reading my article on that topic. X^2 + px + q = 0. This method can be used to derive the quadratic formula, which is used to solve quadratic equations.

This means that finding the roots of a function of degree three is doable, but not easy by hand.

Then we do the following: The formula is as follows for a quadratic function ax^2 + bx + c: To apply the quadratic formula the quadratic equation must be equal to zero. See full list on owlcation.com For functions of degree four and higher, there is a proof that such a formula doesn't exist. 👉 learn how to solve a quadratic equation by applying the quadratic formula. Then we know the solutions are s and t. How to find the roots of a quadratic function. X^2 + px + q = 0. If the discriminant is equal to 0, the roots are real and equal. This formula is pretty long and not so easy to use. Here you just have to fill in a, b and c to get the solutions. What are the roots of an equation?

What are real roots of quadratic equations? To apply the quadratic formula the quadratic equation must be equal to zero. It tells the nature of the roots. We have a quadratic function ax^2 + bx + c, but since we are going to set it equal to zero, we can divide all terms by a if a is not equal to zero. What are the roots of an equation?

Solving Quadratic Equations By Square Root Method Chilimath
Solving Quadratic Equations By Square Root Method Chilimath from www.chilimath.com
Are given by the quadratic formula. Then we know the solutions are s and t. This method can be used to derive the quadratic formula, which is used to solve quadratic equations. Use the quadratic formula to find the roots of this equation, and determine how many real. It tells the nature of the roots. Finding the roots of a quadratic function can come up in a lot of situations. The other side of the equation is zero, so if we divide that by a, it stays zero. 👉 learn how to solve quadratic equations using the quadratic formula.

That means it is of the form ax^2 + bx +c.

How do you find the quadratic equation? How do you solve a quadratic equation? Then we know the solutions are s and t. When only one root exists both formulas will give the same answer. Are given by the quadratic formula. One example is solving quadratic inequalities. The formula is as follows for a quadratic function ax^2 + bx + c: For functions of degree four and higher, it becomes very difficult and therefore it can better be done by a computer. This formula is pretty long and not so easy to use. Finding the roots of a quadratic function can come up in a lot of situations. For a lot of quadratic functions this is the easiest way, but it also might be very difficult to see what to do. The other side of the equation is zero, so if we divide that by a, it stays zero. Determining the roots of a function of a degree higher than two is a more difficult task.